SOAL TRANSFORMASI DAN PENYELESAIANNYA
Assalamualaikum wr.wb
Nama : Adhisty Aristya Nilam (1)
Kelas : XI IPS 2
SOAL TRANSFORMASI DAN PENYELESAIANNYA
1. Bayangan garis y = 2x + 2 yang dicerminkan terhadap garis y= x adalah. . .
Pembahasan :
jawaban : C
2. Bayangan titik A (4,1) oleh pencerminan terhadap garis x =2 dilanjutkan pencerminan terhadap garis x = 5 adalah titik….
A. A” (8,5)
B. A” (10,1)
C. A” (8,1)
D. A” (4,5)
E. A” (20,2)
Pembahasan :
A. A” (-1,-2), B” (1,6) dan C” (-3,-5)
B. A” (-1,-2), B” (1,-6) dan C” (-3,-5)
C. A” (1,-2), B” (-1,6) dan C” (-3,5)
D. A” (-1,-2), B” (-1,-6) dan C” (-3,-5)
E. A” (-1,2), B” (-1,-6) dan C” (-3,-5)
Pembahasan :
a. 2 , 4
b. 4 , 2
c. 2 , 2
d. 3 , 1
e. 1 , 3
Pembahasan :
Jawaban : B
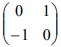
5. Persamaan bayangan dari lingkaran x² +y² +4x – 6y – 3 = 0 oleh transformasi yang berkaitan dengan matriks
adalah….A. x² + y² – 6x – 4y- 3 = 0
B. X² + y² – 6x + 4y- 3 = 0
C. x² + y² + 6x – 4y- 3 = 0
D. x² + y² – 4x + 6y- 3 = 0
E. x² + y² + 4x – 6y+ 3 = 0
Pembahasan :
Jawaban : A
6. Persamaan peta kurva y = x² – 3x + 2 karena pencerminan terhadap sumbu x dilanjutkan dilatasai dengan pusat O dan factor skala 3 adalah…
A. 3y + x² – 9x + 18 = 0
B. 3y – x² + 9x – 18 = 0
C. 3y – x² + 9x + 18 = 0
D. 3y + x² + 9x + 18 = 0
E. y + x² + 9x – 18 = 0
Pembahasan :
pencerminan terhadap sumbu x:
P ( x , y ) → P ‘ ( x , – y )
Dilatasi terhadap titik pusat O(0,0) dengan factor skala 3 :
[O, k] : P(x,y) → P'(kx, ky)
[O,3k] : P(x,y) → P'(3x, 3y)
pencerminan terhadap sumbu x dilanjutkan dilatasai
dengan pusat O dan factor skala 3 :
P(x,y) → P ‘(x, -y) → P ”(3x, -3y)
P(-1,2), Q(3,2), R (3,-1), S(-1,-1)
karena dilatasi [0,3] dilanjutkan rotasi pusat O bersudut π/2 adalah…
A. 36
B. 48
C.72
D. 96
E. 108
Pembahasan :
dilatasi [0,3] :
[O,3k] : P(x,y) → P ‘(3x, 3y)
Jawaban : E
8. Tentukan bayangan garis y = 3x – 5 oleh translasi T (-2, 1)!
A. y = 2x + 2
B. y = 2x – 2
C. y = 3x + 2
D. y = 3x – 2
E. y = 2x + 3
Pembahasan :
jawaban : C
9. Bayangan titik A oleh refleksi terhadap titik (1, -2) adalah titik A’(3, 5). Tentukan koordinat titik A!
A. A(1, 9)
B.A(1, 1)
C.A(-9, 1)
D. A(-1, -9)
E. A(9, 1)
Pembahasan :
x’ = 2 – x ó x = 2 – x’
y’ = -4 – y ó y = -4 – y’
x = 2 – 3 = -1
y = -4 – 5 = -9 Jadi A(-1, -9)
jawaban : D
10. Tentukan bayangan garis 2x – y = 5 apabila dicerminkan terhadap garis x = -1!
A. 2x + y + 9 =0
B. x + 2y + 9 = 0
C. x + y – 9 = 0
D. 2x – y + 9 = 0
E. 2x + y – 9 = 0
Pembahasan :
(x, y) ó (2a – x, y)
x’ = 2(-1) – x ó x’ = -2 – x
y’ = y
2(-2 – x’) – y’ = 5
-y – 2x’ – y’ = 5
2x’ + y’ + 9 = 0 Jadi bayangan 2x + y + 9 = 0
jawaban : A







Komentar
Posting Komentar